De mest intressanta banorna som kan nås från Esrange är s.k. solsynkrona banor. De har egenskapen att den lokala soltiden för satellitens passage över ekvatorn alltid är densamma. Belysningsförhållandena vid jordytan är i princip desamma under en hel dag. Vid samma datum varje år är belysningsförhållandena i princip identiska, men de varierar en smula dag från dag. Sådana banor passar bra för observation av jorden. Man behöver välja banhöjd och banans inklination så att banplanet vrider sig i förhållande till stjärnhimlen i samma riktning och lika fort som solen förflyttar sig på himlen i stjärnfasta koordinater.
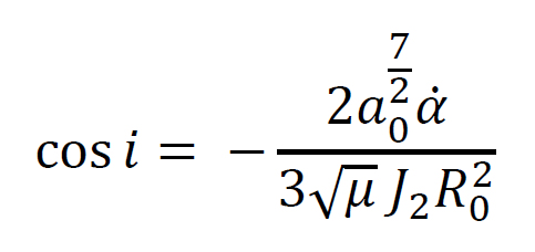
Den formel med vars hjälp man beräknar inklinationsvinkeln i (mot ekvatorplanet) beräknas med nedanstående formel:

Parametrarna i formeln definieras på detta sätt:

a0 får man genom att lägga till banhöjden till R0. Den bäring som raketen skall skjutas upp i kallas α och banans inklination är i och startplatsens latitud är ϕ.
Formeln för att beräkna α är:

Kurvorna nedan visar inklination som funktion av banhöjd och avfyringsbäring som funktion av banhöjden.

Riktningen mot Tromsö framgår av pilen. Att skjuta raketen rakt över Tromsö verkar opsykologiskt. Ännu större västlig bäring skulle innebära att raketen färdas nära skjutfältets västra gräns i Sverige. Man ser att Tromsös läge innebär en begränsning av den högsta höjd till ungefär 750 km för en solsynkron bana som kan uppnås från Esrange – om inte….
Raketen kan göra en ”dog-leg”, d.v.s. börja med att gå nästan norrut för att sedan svänga mot väster för att undvika Tromsös närhet. Det skulle medge större solsynkron banhöjd, men det kostar i nyttolastkapacitet att göra en sådan manöver.
Om man inte eftersträvar en solsynkron bana (som kräver i>90o ) kan man nå till i>72o . Begränsningen ligger i att undvika Kirkenes och att flyga över ryskt territorium.